Корзина пуста
Поиск по учебным заведениям

Задание 3

Задание: Разложение функции в ряд Фурье

1.Разложить заданную функцию в общий ряд Фурье на [0; b].
2. Разложить заданную функцию в ряд Фурье по синусам на [-b; b].
3. Разложить заданную функцию в ряд Фурье по косинусам на [-b; b].

  Посмотреть методичку

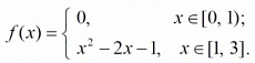
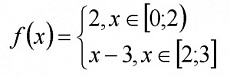
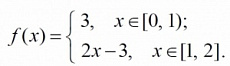
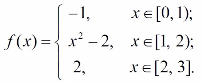
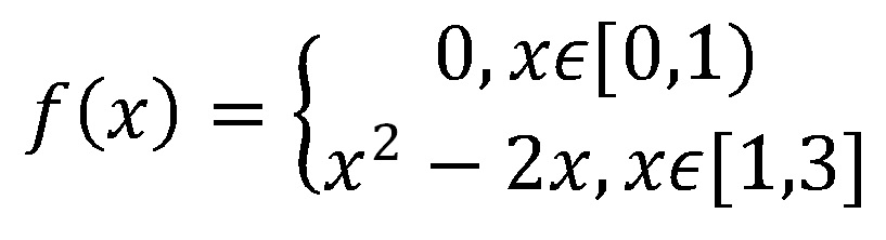
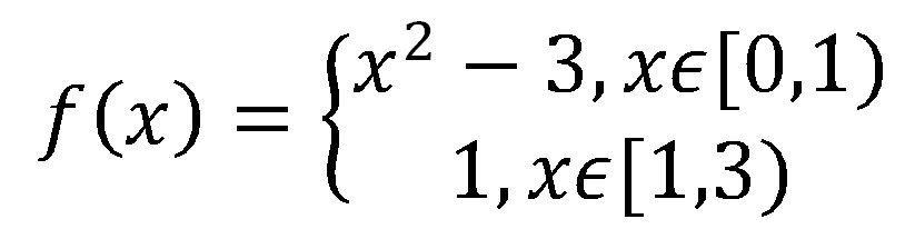
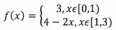
1.
Вариант 2
Решение в формате word.

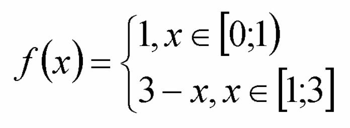
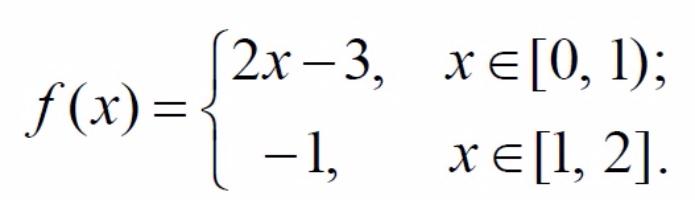
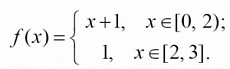
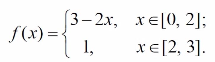
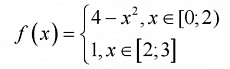
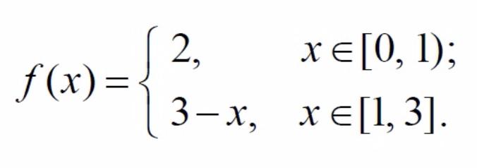
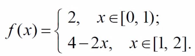
2.
Вариант 4
Решение в формате word.

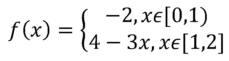
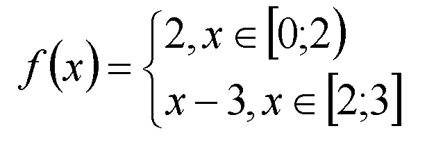
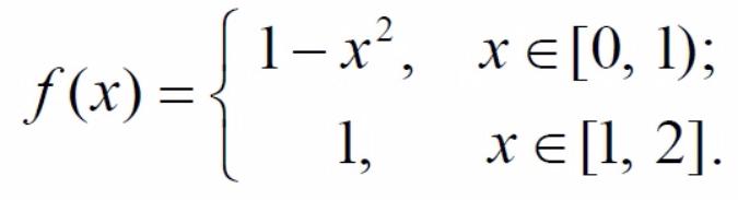
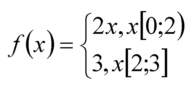
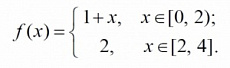
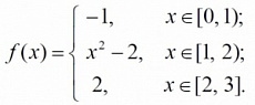
3.
Вариант 5
Решение в формате word.

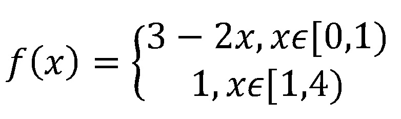
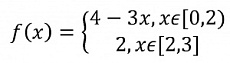
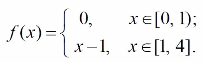
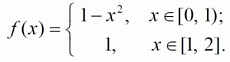
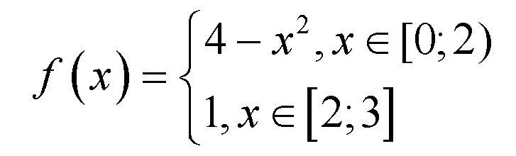
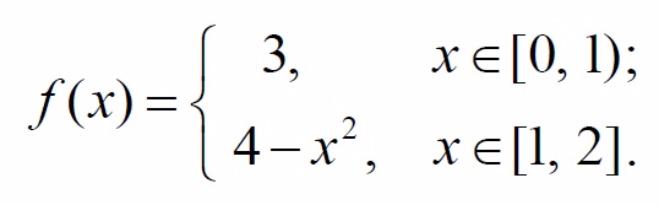
4.
Вариант 7
Решение в формате word.

5.
Вариант 9
Решение в формате word.

6.
Вариант 10
Решение в формате word.

7.
Вариант 11
Решение в формате word.

8.
Вариант 12
Решение в формате word.

9.
Вариант 14
Решение в формате word.

10.
Вариант 17
Решение в формате word.

11.
Вариант 19
Решение в формате word.

12.
Вариант 20
Решение в формате word.

13.
Вариант 21
Решение в формате word.

14.
Вариант 24
Решение в формате word.

15.
Вариант 25
Решение в формате word.

16.
Вариант 33
Решение в формате word.

17.
Вариант 37
Решение в формате word.

18.
Вариант 39
Решение в формате word.

19.
Вариант 40
Решение в формате word.

20.
Вариант 43
Решение в формате word.

21.
Вариант 45
Решение в формате word.

22.
Вариант 46
Решение в формате word.

23.
Вариант 47
Решение в формате word.

24.
Вариант 48
Решение в формате word.

25.
Вариант 49
Решение в формате word.

26.
Вариант 50
Решение в формате word.

27.
Вариант 51
Решение в формате word.

28.
Вариант 52
Решение в формате word.

29.
Вариант 62
Решение в формате word.