- Магазин готовых работ
- Поиск по учебному заведению
- Санкт-Петербургский Горный Университет. СПГУ
- Математика
- Дифференциальные уравнения
- Методички
- Задание 6
Задание 6
Решение линейных дифференциальных уравнений 2-го порядка.
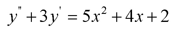
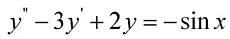
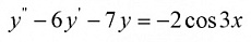
Задано линейное неоднородное дифференциальное уравнение 2-го порядка (ЛНДУ 2) с постоянными коэффициентами со специальное правой частью. Найти его общее решение двумя способами и убедиться, что полученные решения совпадают.
1-й способ. Найти общее решение ЛОДУ y = C1y1 + C2y2 и частное решение ЛНДУ y’ по методу подбора. Тогда общее решение ЛНДУ имеет вид y = C1y1 + C2y2+ y’
2-й способ. Найти общее решение по методу Лагранжа ( метод вариации произвольных постоянных).
Страницы: