- Магазин готовых работ
- Поиск по учебному заведению
- Санкт-Петербургский Горный Университет. СПГУ
- Математические методы в инженерии
- Задание №1. Практические задания
- Практическое задание №9. Численное решение уравнения Фредгольма 2 рода методом квадратур
Практическое задание №9. Численное решение уравнения Фредгольма 2 рода методом квадратур
Тема: Численное решение уравнения Фредгольма 2 рода методом квадратур.
Посмотреть методичку
1.
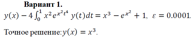
Вариант №1
Работа состоит из задания №1
- решение в Mathcad
2.
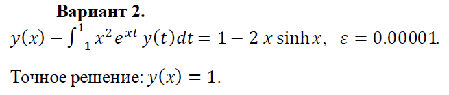
Вариант №2
Работа состоит из задания №1
- решение в Mathcad
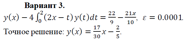
3.
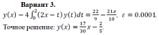
Вариант №3
Работа состоит из задания №1
- решение в Mathcad
4.
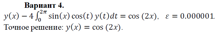
Вариант №4
Работа состоит из задания №1
- решение в Mathcad