- Магазин готовых работ
- Поиск по учебному заведению
- Санкт-Петербургский Горный Университет. СПГУ
- Математические методы в инженерии
- Задание №1. Практические задания
- Практическое задание №8. Численное решение уравнения Вольтерра 1 рода методом квадратур
Практическое задание №8. Численное решение уравнения Вольтерра 1 рода методом квадратур
Тема: Численное решение уравнения Вольтерра 1 рода методом квадратур.
Посмотреть методичку
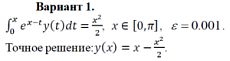
1.
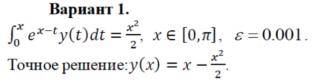
Вариант №1
Работа состоит из задания №1
- решение в Mathcad
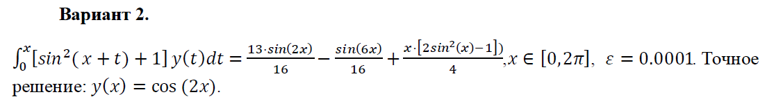
2.
Вариант №2
Работа состоит из задания №1
- решение в Mathcad
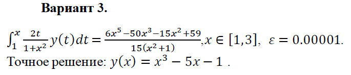
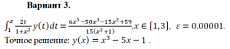
3.
Вариант №3
Работа состоит из задания №1
- решение в Mathcad
4.
Вариант №4
Работа состоит из задания №1
- решение в Mathcad