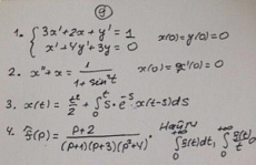
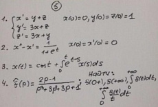
Корзина пуста
Поиск по учебным заведениям

Задание 4

Задание:

1. Найти операторным методом решение системы ДУ. Полученный результат проверить.
2. Найти решение ДУ с помощью интеграла Дюамеля.
3. Найти операторным методом решение интегрального уравнения. Решение проверить.
4. Вычислить указанные в задаче величины, предварительно установить сходимость интегралов.


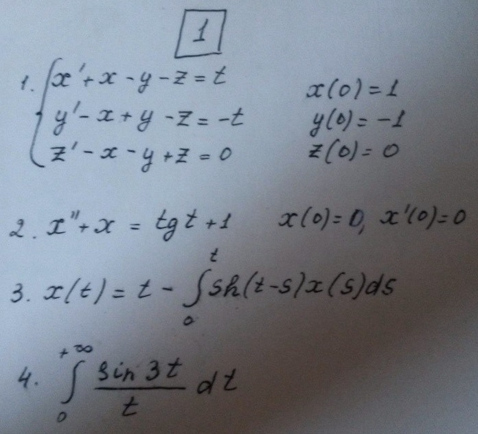
1.
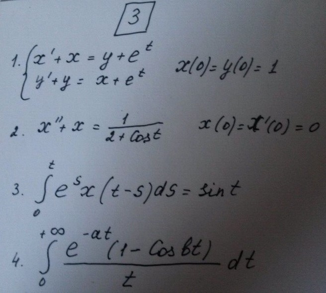
Вариант 1
Решение задач № 1 и 3.

2.
Вариант 2
Решение задач № 1 и 3.

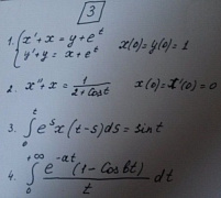
3.
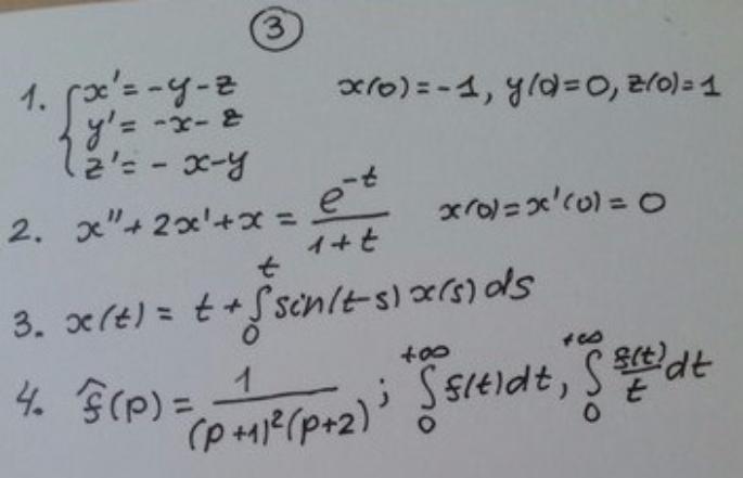
Вариант 3
Решение задач № 1 и 3.



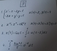
6.
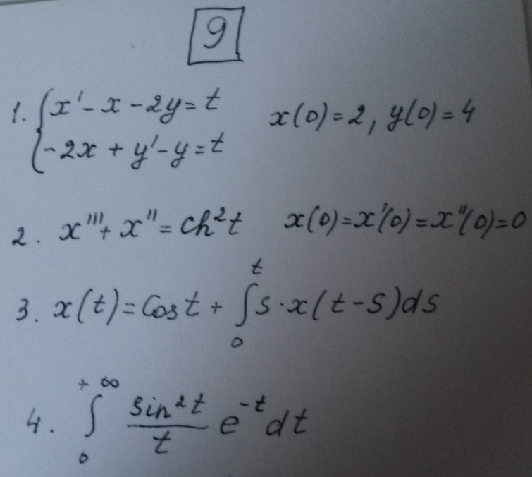
Вариант 9
Решение задач № 1 и 3.


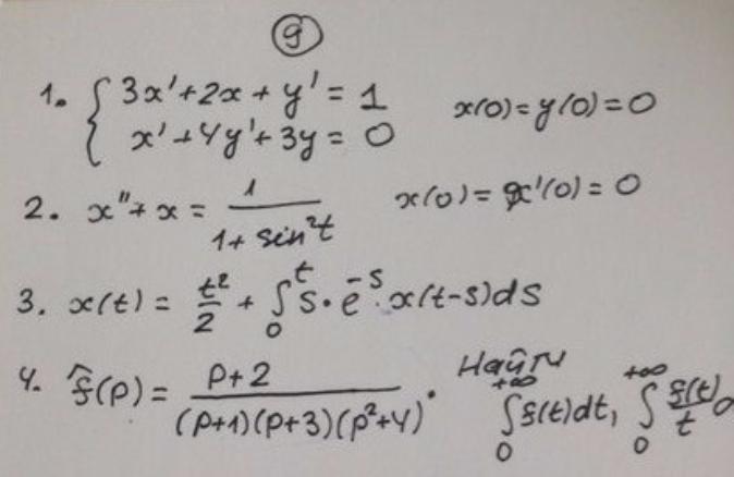
8.
Вариант 11
Решение задач № 1 и 3.

9.
Вариант 12
Решение задач № 1 и 3.


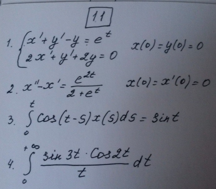
11.
Вариант 17
Решение задач № 1 и 3.

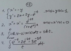
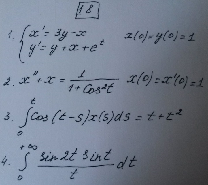
12.
Вариант 18
Решение задач № 1 и 3.

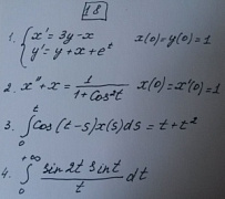
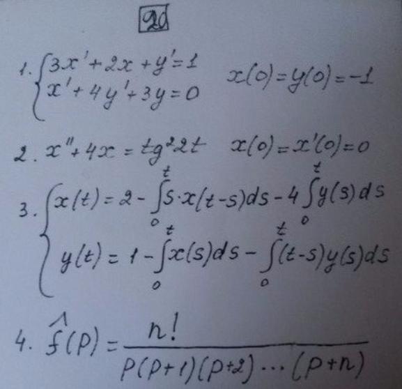
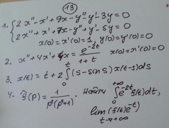
13.
Вариант 20
Решение задач № 1 и 3.