Корзина пуста
Поиск по учебным заведениям

Задание 6

Задание:

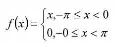
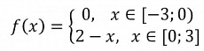
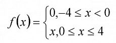
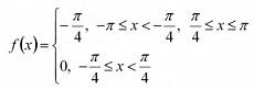
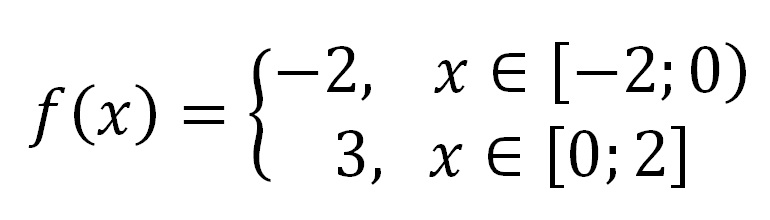
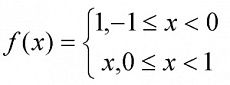
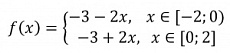
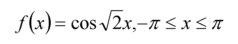
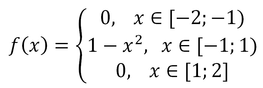
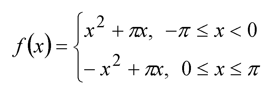
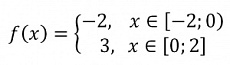
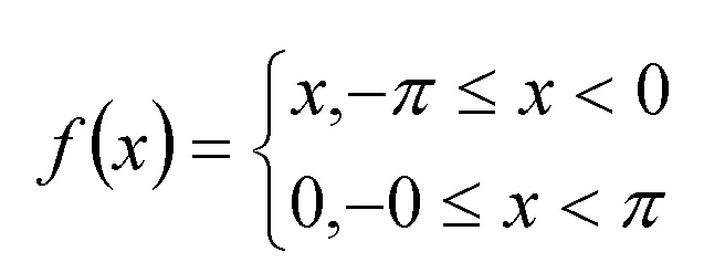
Разложить в ряд Фурье функции, заданные на интервале [-l,l]. На одном рисунке построить график заданной функции и график функции S4(x) - суммы первых четырех членов её ряда Фурье.

1.
Задание 1
Решение в формате word.

2.
Задание 2
Решение в формате word.

3.
Задание 3
Решение в формате word.

4.
Задание 4
Решение в формате word.

5.
Задание 5
Решение в формате word.

6.
Задание 6
Решение в формате word.

7.
Задание 7
Решение в формате word.

8.
Задание 8
Решение в формате word.

9.
Задание 9
Решение в формате word.

10.
Задание 10
Решение в формате word.

11.
Задание 11
Решение в формате word.

12.
Задание 12
Решение в формате word.

13.
Задание 13
Решение в формате word.

14.
Задание 14
Решение в формате word.

15.
Задание 15
Решение в формате word.

16.
Задание 16
Решение в формате word.

17.
Задание 17
Решение в формате word.

18.
Задание 18
Решение в формате word.

19.
Задание 19
Решение в формате word.

20.
Задание 20
Решение в формате word.

21.
Задание 21
Решение в формате word.

22.
Задание 22
Решение в рукописном виде

23.
Задание 23
Решение в рукописном виде

24.
Задание 24
Решение в формате word.