Корзина пуста
Поиск по учебным заведениям

Задание 5

Задание: Функцию на промежутке или разложить в ряд Фурье указанного вида.

1. Найти аналитически коэффициенты Фурье.
2. Составить ряд Фурье.
3. На промежутке [-3L,3L] построить графики заданной функции и частичных сумм s1(x), s3(x), s10(x), s20(x) ряда Фурье.
4. Определить средние квадратичные погрешности, возникающие при аппроксимации функции f(x) указанными частичными суммами.

  Посмотреть методичку

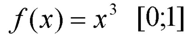
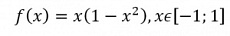
1.
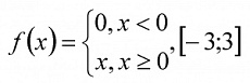
Вариант 1
Решение в формате word.

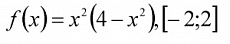
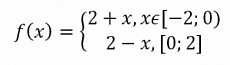
2.
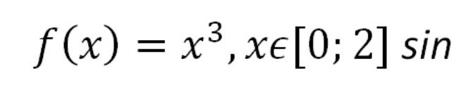
Вариант 3
Решение в формате word.

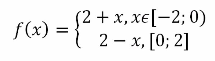
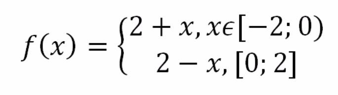
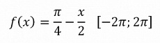
3.
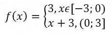
Вариант 3
Решение в формате word.

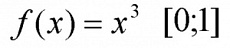
4.
Вариант 4
Решение в формате word.

5.
Вариант 5
Решение в формате word.

6.
Вариант 6
Решение в формате word.

7.
Вариант 8
Решение в формате word.

8.
Вариант 9
Решение в формате word.

9.
Вариант 11
Решение в формате word.

10.
Вариант 13
Решение в формате word.

11.
Вариант 19
Решение в формате word.

12.
Вариант 24
Решение в формате word.

13.
Вариант 25
Решение в формате word.