- Магазин готовых работ
- Поиск по учебному заведению
- Санкт-Петербургский Горный Университет. СПГУ
- Математика
- Производные
- Методички
- Задание 6
Задание 6
Тема. Исследование непрерывности функции.
Контрольная работа состоит из двух заданий.
Посмотреть методичку
1.
Вариант №9
Решение состоит из заданий №1 и 2
Оформление Word
2.
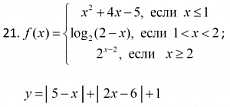
Вариант №21
Решение состоит из задания №1
Оформление Word
3.
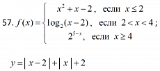
Вариант №57
Решение состоит из задания №1
Оформление Word