- Магазин готовых работ
- Поиск по учебному заведению
- Санкт-Петербургский Горный Университет. СПГУ
- Математика
- Дифференциальные уравнения
- Методички
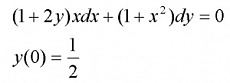
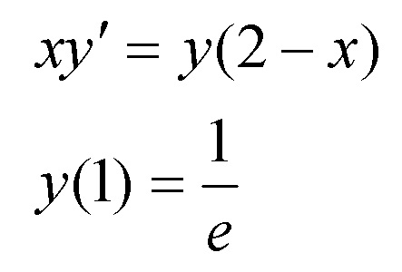
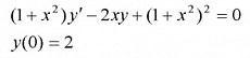
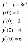
- Задание 5
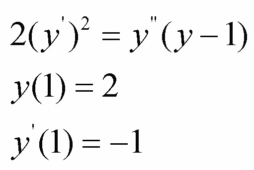
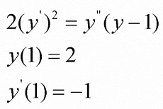
Задание 5
Задание:
Найти решение задачи Коши и построить интегральную кривую, проведя полное исследование функции с помощью производных.