- Магазин готовых работ
- Поиск по учебному заведению
- Санкт-Петербургский Горный Университет. СПГУ
- Математика
- Аналитическая геометрия и векторная алгебра
- Карточки
- Задание 10
Кривые и поверхности второго порядка
Тема. Кривые и поверхности второго порядка
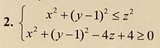
1.
Вариант №1
Решение состоит из задания №2
Оформление Word
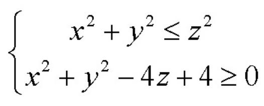
3.
Вариант №4
Решение состоит из задания №2
Оформление Word
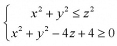
4.
Вариант №6
Решение состоит из задания №2
Оформление в рукописном виде
5.
Вариант №9
Решение состоит из задания №2
Оформление в рукописном виде
6.
Вариант №11
Решение состоит из задания №1,2
Оформление в рукописном виде
7.
Вариант №12
Решение состоит из задания №2
Оформление Word
8.
Вариант №14
Решение состоит из задания №2
Оформление Word
9.
Вариант №15
Решение состоит из задания №1
Оформление Word
10.
Вариант №16
Решение состоит из задания №2
Оформление в рукописном виде
11.
Вариант №21
Решение состоит из заданий №1,2
Оформление Word
12.
Вариант №23
Решение состоит из задания №2
Оформление в рукописном виде
13.
Вариант №24
Решение состоит из задания №2
Оформление в рукописном виде
14.
Вариант №26
Решение состоит из задания №2
Оформление в рукописном виде