- Магазин готовых работ
- Поиск по учебному заведению
- Санкт-Петербургский Национальный Исследовательский Университет Информационных Технологий, Механики и Оптики. ИТМО
- Информатика и программирование
- Лабораторные работы
- Лабораторная работа №4. Решение нелинейных уравнений и систем уравнений
Лабораторная работа №4. Решение нелинейных уравнений и систем уравнений
Решение нелинейных уравнений и систем уравнений
Посмотреть методичку
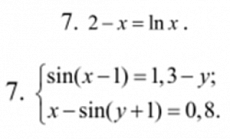
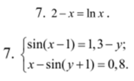
1.
Вариант №7
Работа состоит:
-решение в MathCad
-отчет Word