- Магазин готовых работ
- Поиск по учебному заведению
- Санкт-Петербургский Государственный Электротехнический Университет «ЛЭТИ» им. В.И. Ульянова (Ленина).СПбГЭТУ
- Высшая математика
- Задание №2.Комплексные числа
Задание №2.Комплексные числа
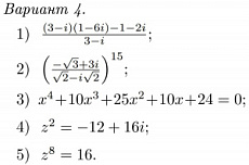
Условия к заданиям:
1. упростить
2. упростить
3. найти все корни
4. вычислить без использования формулы Муавра
5. вычислить и изобразить на комплексной плоскости