- Магазин готовых работ
- Задания
- Тип: Каталог по ВУЗам
- # 14249
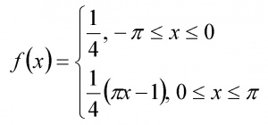
Задание 30
Задание:
1.Разложить функцию в ряд Фурье.
2.Построить графики гармоник
при k=1, k=2, k=3.
3.График приближенной функции.
4.График исходной функции.
Эта работа вам не подошла?
Вы можете заказать любую учебную работу от 100 руб!