- Магазин готовых работ
- Задания
- Тип: Каталог по ВУЗам
- # 14238
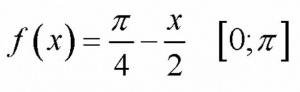
Задание 19
Задание:
1.Разложить функцию в ряд Фурье.
2.Построить графики гармоник
при k=1, k=3, k=5.
3.График суммы трех гармоник.
4.График исходной функции.
Эта работа вам не подошла?
Вы можете заказать любую учебную работу от 100 руб!